Impact of Delays and Computation Placement on Sense-Act Application Performance in IoT

University of California Los Angeles
MILCOM 2023

Abstract

This paper investigates the challenges posed by delays in Closed-Loop Sense-Act Systems in the context of Adversarial Internet of Things (IoT) applications. Prior work focused on studying the impact of delays on a single resource-constrained platform. To capitalize on the capabilities of different computing platforms, this work investigates the adaptation of control placement to optimize application performance in distributed settings. An Adaptive Control Placement (ACP) strategy is introduced, which dynamically switches between a local controller with lower accuracy and a cloud controller with higher accuracy based on network dynamics, optimizing overall application performance. The effectiveness of the ACP strategy is evaluated using a simulated Vehicle Following application in the PyBullet simulator. The results demonstrate that in terms of a time-to-complete (TTC) metric, the ACP strategy consistently outperforms strategies that use a fixed combination of controller type and location (e.g., PID at Local and MPC at Cloud) across various deadline scenarios.

Delays in Sense-Act Systems

Each module within the closed-loop Sense-Act system introduces its own computational delay (d1, d2, and d3), collectively influencing the overall application performance by shaping the accuracy-latency trade-off. Typically, system designs accommodate these delays by adopting a worst-case approach, where sensing and actuation are scheduled at fixed intervals that exceed the cumulative worst-case delays of d1, d2, and d3. Alternatively, some systems adopt hybrid configurations, wherein sensing occurs at predetermined intervals while actuation is triggered as soon as the corresponding action is computed. This interplay between module-specific delays and the timing configurations for sensing and actuation has a significant impact on application performance, influencing both responsiveness and accuracy.

intro
Visualization of closed-loop Sense-Act Systems with module delays d1 , d2 , and d3 .

System Design

To demonstrate the placement of control in a distributed setting, we consider two execution locations for the control algorithm: local and cloud. Local control refers to an on-device controller, directly connected to the device's sensors via a low-latency link but constrained by limited computational resources due to its deployment on a resource-limited platform. In contrast, cloud control represents a remote controller equipped with significantly greater computational capabilities but connected to the device through a high-latency network link.

This architecture is implemented for a Vehicle Following application using a simulated F1/10 racecar and its environment in the Pybullet simulator. The simulation runs on a MacBook Pro and is connected to the local controller, a Raspberry Pi 4B, via Ethernet, collectively representing the vehicular network. The cloud controller, hosted on an Amazon AWS EC2 (N. California) instance, communicates with the vehicular network over Wi-Fi. This setup provides a representative framework to evaluate the trade-offs between low-latency local control and high-computation cloud-based control in distributed control systems.

intro
System Setup with Local and Cloud control locations.

Evaluation Results

Controller Performance

math
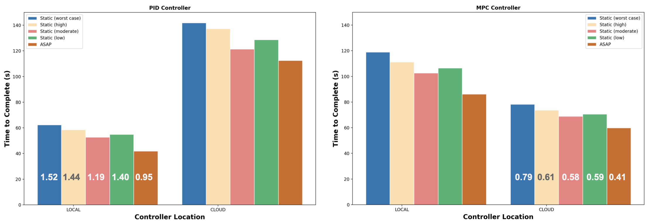
Application performance of PID and MPC controllers with Local and Cloud deployment under various actuation deadlines. While Local PID finishes faster than Cloud MPC, the latter has lower trajectory tracking error (denoted by bar labels).

Adaptive Control Placement (ACP)

math
Distributed architecture of Adaptive Control Placement strategy.

Our findings indicate that the optimal performance is achieved by deploying PID on-device and MPC in the cloud. Building on this insight, we design a distributed system employing an Adaptive Control Placement (ACP) strategy, illustrated above. In this framework, the computationally intensive MPC is hosted on the high-latency but faster cloud platform, while the simpler PID controller resides on the low-latency, resource-constrained local device. While MPC is preferred for its higher accuracy, the system seamlessly switches to PID during periods of elevated network latency, ensuring continuous and reliable control.

ACP Performance

math
Application Performance of Adaptive Control Placement strategy. ACP outperforms Local PID and Cloud MPC in terms of time-to-complete. Tracking error of ACP (denoted by bar labels) lies in between that of PID and MPC.

BibTeX

@inproceedings{sharma2023impact,
                  title={Impact of Delays and Computation Placement on Sense-Act Application Performance in IoT},
                  author={Sharma, Pragya and Srivastava, Mani B},
                  booktitle={MILCOM 2023-2023 IEEE Military Communications Conference (MILCOM)},
                  pages={133--138},
                  year={2023},
                  organization={IEEE}}